21. 소프트웨어 패키징 도구 활용 시 고려 사항으로 틀린 것은?
① 반드시 내부 콘텐츠에 대한 암호화 및 보안을 고려한다.
② 보안을 위하여 이기종 연동을 고려하지 않아도 된다.
③ 사용자 편의성을 위한 복잡성 및 비효율성 문제를 고려한다.
④ 제품 소프트웨어 종류에 적합한 암호화 알고리즘을 적용한다.
22. EAI(Enterprise Application Integration) 구죽유형 중 Hybrid에 대한 설명으로 틀린 것은?
① Hub &Spoke와 Message Bus의 혼합방식이다.
② 필요한 경우 한 가지 방식으로 EAI구현이 가능하다.
③ 데이터 병목현상을 최소화할 수 있다.
④ 중간에 미들웨어를 두지 않고 각 애플리케이션을 point to point로 연결한다.
23. 소스코드 품질분석 도구 중 정적분석 도구가 아닌 것은?
① pmd
② checkstyle
③ valance
④ cppcheck
24. 다음 Postfix 연산식에 대한 연산결과로 옳은 것은?
| 3 4 * 5 6 * + |
① 35
② 42
③ 77
④ 360
25. 인터페이스 보안을 위 해 네트워크 영역에 적용될 수 있는 것으로 거리가 만 것은?
① IPSec
② SSL
③ SMTP
④ S-HTTP
26. 검증(Validation) 검사 기법 중 개발자의 장소에서 사용자가 개발자 앞에서 행해지며, 오류와 사용상의 문제점을 사용자와 개발자가 함께 확인하면서 검사하는 기법은?
① 디버깅 검사
② 형상 검사
③ 자료구조 검사
④ 알파 검사
27. 다음 초기 자료에 대하여 삽입 정렬(Insertion Sort)을 아용하여 오름차순 정렬할 경우 1회전 후의 결과는?
| 초기 자료 : 8, 3, 4, 9, 7 |
① 3, 4, 8, 7, 9
② 3, 4, 9, 7, 8
③ 7, 8, 3, 4, 9
④ 3, 8, 4, 9, 7
28. 소프트웨어 설치 매뉴얼에 대한 설명으로 틀린 것은?
① 설치과정에서 표시될 수 있는 예외상황에 관련 내용을 별도로 구분하여 설명한다.
② 설치 시작부터 완료할 때까지의 전 과장을 빠짐없이 순서 대 로 설 명 한다.
③ 설치 매뉴얼은 개발자 기준으로 작성한다.
④ 설치 매뉴얼에는 목차, 개요, 기본사항 등이 기본적으로 포함되어야 한다.
29. 인터페이스 구현 검증 도구가 아닌 것은?
① ESB
② xUnit
③ STAF
④ NTAF
30. 소프트웨어 형상 관리에서 관리 항목에 포함되지 않는 것은?
① 프로젝트 요구 분석서
② 소스 코드
③ 운영 및 설치 지침서
④ 프로젝트 개발 비용
31. 다음 설명에 해당하는 것은?
| 물리적 저장 장치의 입장에서 본 데이터베이스 구조로서 실제로 데이터베이스에 저장될 레코드의 형식을 정의하고 저장 데이터 항목의 표현 방법, 내부 레코드의 물리적 순서 등을 나타낸다. |
① 외부 스키마
② 내부 스키마
③ 개념 스키마
④ 슈퍼 스키마
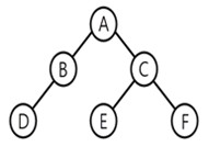
32. 다음 트리에 대한 INORDER 운행 결과는?

① D B A E C F
② A B D C E F
③ D B E C F A
④ A B C D E F
33. n 개의 노드로 구성된 무방향 그래프의 최대 간선수는?
① n-1
② n/2
③ n(n-1)/2
④ n(n+1)
34. 다음이 설명하는 테스트 용어는?
| - 테스트의 결과가 참인지 거짓인지를 판단하기 위해서 사전에 정의된 참값을 입력하여 비교하는 기법 및 활동을 말한다. - 종류에는 참, 샘플링, 휴리스틱, 일관성 검사가 존재한다. |
① 테스트 케이스
② 테스트 시나리오
③ 테스트 오라클
④ 테스트 데이터
35. 빌드 자동화 도구에 대한 설명으로 틀린 것은?
① Gradle은 실행할 처리 명령들을 모아 태스크로 만든 후 태스크 단위로 실행한다.
② 빌드 자동화 도구는 지속적인 통합개발환경 에 서 유용하게 활용된다.
③ 빌드 자동화 도구에는 Ant, Gradle, Jenkins등이 있다.
④ Jenkins는 Groovy기 반으로 한 오픈소스로 안드로이드 앱 개발 환경에서 사용된다.
36. 저작권 관리 구성 요소에 대한 설명이 틀린 것은?
① 콘텐츠 제공자(Contents Provider) : 콘텐츠를 제 공하는 저작권자
② 콘텐츠 분배자(Contents Distributor) : 콘텐츠를 메타 데이터와 함께 배포 가능한 단위로 묶는 기능
③ 클리어링 하우스(Clearing House) : 키 관리 및 라이선스 발급 관리
④ DRM 컨트롤러 : 배포된 콘텐츠의 이용 권한을 통제
37. 블랙박스 테스트 기법으로 거리가 먼 것은?
① 기초 경로 검사
② 동치 클래스 분해
③ 경계값 분석
④ 원인 결과 그래프
38. 해싱함수 중 레코드 키를 여러 부분으로 나누고, 나눈 부분의 각 숫자를 더하거나 XOR한 값을 홈 주소로 사용하는 방식은?
① 제산법
② 폴딩법
③ 기수변환법
④ 숫자분석법
39. 다음에서 설명하는 클린 코드 작성 원칙은?
| - 한 번에 한 가지 처리만 수행한다. - 클래스/메소드/함수를 최소 단위로 분리한다. |
① 다형성
② 단순성
③ 추상화
④ 의존성
40. 디지털 저작권 관리(DRM) 기술과 거리가 먼 것은?
① 콘텐츠 암호화 및 키 관리
② 콘텐츠 식별체계 표현
③ 콘텐츠 오류 감지 및 복구
④ 라이선스 발급 및 관리
'13 _ 정보처리기사 [필기]' 카테고리의 다른 글
| 정보처리기사 필기 - 2020년 09월 26일 기출 - 4과목 프로그래밍 언어 활용 (0) | 2021.01.27 |
|---|---|
| 정보처리기사 필기 - 2020년 09월 26일 기출 - 3과목 데이터베이스 구축 (0) | 2021.01.27 |
| 정보처리기사 필기 - 2020년 09월 26일 기출 - 1과목 소프트웨어 설계 (0) | 2021.01.27 |
| 5. 소프트웨어 설계시 구축된 플랫폼의 성능특성 분석에 사용되는 측정 항목이 아닌 것은? (0) | 2020.12.20 |
| 4. 데이터 흐름도(DFD)의 구성요소에 포함되지 않는 것은? (0) | 2020.12.20 |